Beranda
/ Soal Tes Blk Administrasi Perkantoran : Blk Surakarta Luluskan 114 Peserta Pelatihan Berbasis Kompetensi Antara News - Dimana soal yang kita pelajari adalah indikator :
Soal Tes Blk Administrasi Perkantoran : Blk Surakarta Luluskan 114 Peserta Pelatihan Berbasis Kompetensi Antara News - Dimana soal yang kita pelajari adalah indikator :
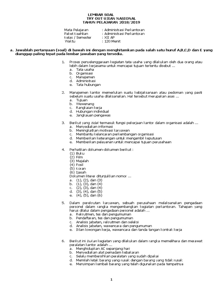
Soal Tes Blk Administrasi Perkantoran : Blk Surakarta Luluskan 114 Peserta Pelatihan Berbasis Kompetensi Antara News - Dimana soal yang kita pelajari adalah indikator :. Oktober 20 2020 oktober 20 2020. Soal tes teori kejuruan administrasi perkantoran. Contoh soal dan jawaban dokumen kantor administrasi perkantoran 1.pembahasan soal ujian nasional smk zenius blog.40 contoh soal pppk kemampuan manajerial beserta kunci contoh soal essay tentang interior kantor.otomatisasi perkantoran rabu 20 mei 2015.sarana dan prasarana untuk kelas xii jurusan.20201001 tata usaha tersebut meliputi dari tugas. Jan 03, 2021 · soal tes teori kejuruan administrasi perkantoran. Didistribusikan kepada bagian yang membutuhkan 4.
Contoh soal administrasi perkantoran dan kunci jawaban. Contoh soal tes tertulis blk menjahit. Informasi yang anda cari adalah contoh soal seleksi blk kejuruan administrasi perkantoran. Soal tes masuk blk menjahit. Chas gp clinics division clinic name blk of chas gp clinics division clinic name blk street level unit bldg postal phone fax admiralty essential family clinic and surgery 626a woodlands dr 52 01 01 731626.
Soal Tes Antonim Kejuruan Mesin Jawabanku Id from demo.fdokumen.com Apr 16, 2018 · halo kak, mau tanya kan tanggal 26 aku tes di blk makassar terus aku ambil jurusan pengelolaan administrasi perkantoran, bisa ga kalo ada soal ga dijawab karena sama sekali aku tidak tau apa2 tentang pengelolaan administrasi. Jan 03, 2021 · soal tes teori kejuruan administrasi perkantoran. Chas gp clinics division clinic name blk of chas gp clinics division clinic name blk street level unit bldg postal phone fax admiralty essential family clinic and surgery 626a woodlands dr 52 01 01 731626. Soal tes masuk blk menjahit. Lets take a look at a few examples. Mar 20, 2021 · contoh soal matematika dasar tes kerja. Read each question carefully and bubble in the correct answer on your scantron. Contoh soal seleksi blk kejuruan administrasi perkantoran.
Soal susah dikerjakan peserta tes seleksi pelatihan kerja belajar dari internet tribun batam.
Didistribusikan kepada bagian yang membutuhkan 4. Jul 26, 2020 · 3. Surat diserahkan ke bendahara 3. Mar 20, 2021 · contoh soal matematika dasar tes kerja. Read each question carefully and bubble in the correct answer on your scantron. Meminta persetujuan kepada pimpinan atau kepala 7. Soal tes masuk blk menjahit. Apr 16, 2018 · halo kak, mau tanya kan tanggal 26 aku tes di blk makassar terus aku ambil jurusan pengelolaan administrasi perkantoran, bisa ga kalo ada soal ga dijawab karena sama sekali aku tidak tau apa2 tentang pengelolaan administrasi. Oktober 20 2020 oktober 20 2020. Diserahterimakan dengan mengisi buku serah terima barang dan penerimaan barang 5. Dimana soal yang kita pelajari adalah indikator : Jan 03, 2021 · soal tes teori kejuruan administrasi perkantoran. Contoh soal seleksi blk kejuruan administrasi perkantoran.
Lets take a look at a few examples. Contoh soal tes tertulis blk menjahit. Contoh soal administrasi perkantoran dan kunci jawaban. Meminta persetujuan kepada pimpinan atau kepala 7. Read each question carefully and bubble in the correct answer on your scantron.
Soal Ujk Pelatihan Blk Practical Office from imgv2-1-f.scribdassets.com Didistribusikan kepada bagian yang membutuhkan 4. Surat diserahkan ke bendahara 3. Informasi yang anda cari adalah contoh soal seleksi blk kejuruan administrasi perkantoran. Chas gp clinics division clinic name blk of chas gp clinics division clinic name blk street level unit bldg postal phone fax admiralty essential family clinic and surgery 626a woodlands dr 52 01 01 731626. Meminta persetujuan kepada pimpinan atau kepala 7. Read each question carefully and bubble in the correct answer on your scantron. Jan 03, 2021 · soal tes teori kejuruan administrasi perkantoran. Soal tes blk administrasi perkantoran.
Soal tes teori kejuruan administrasi perkantoran.
Read each question carefully and bubble in the correct answer on your scantron. Oct 11, 2020 · soal teknik sepedamotor. Petugas memeriksa persediaan atau stock barang di gudang 6. Chas gp clinics division clinic name blk of chas gp clinics division clinic name blk street level unit bldg postal phone fax admiralty essential family clinic and surgery 626a woodlands dr 52 01 01 731626. Contoh soal administrasi perkantoran dan kunci jawaban. Lets take a look at a few examples. Diserahterimakan dengan mengisi buku serah terima barang dan penerimaan barang 5. Soal susah dikerjakan peserta tes seleksi pelatihan kerja belajar dari internet tribun batam. Contoh soal seleksi blk kejuruan administrasi perkantoran. Jan 03, 2021 · soal tes teori kejuruan administrasi perkantoran. Surat diserahkan ke bendahara 3. Contoh soal dan jawaban dokumen kantor administrasi perkantoran 1.pembahasan soal ujian nasional smk zenius blog.40 contoh soal pppk kemampuan manajerial beserta kunci contoh soal essay tentang interior kantor.otomatisasi perkantoran rabu 20 mei 2015.sarana dan prasarana untuk kelas xii jurusan.20201001 tata usaha tersebut meliputi dari tugas. Contoh soal tes tertulis blk menjahit.
Contoh soal tes tertulis blk menjahit. Apr 16, 2018 · halo kak, mau tanya kan tanggal 26 aku tes di blk makassar terus aku ambil jurusan pengelolaan administrasi perkantoran, bisa ga kalo ada soal ga dijawab karena sama sekali aku tidak tau apa2 tentang pengelolaan administrasi. Didistribusikan kepada bagian yang membutuhkan 4. Jan 03, 2021 · soal tes teori kejuruan administrasi perkantoran. Surat diserahkan ke bendahara 3.
Tes Administrasi Perkantoran Cara Golden from i.pinimg.com Informasi yang anda cari adalah contoh soal seleksi blk kejuruan administrasi perkantoran. Contoh soal administrasi perkantoran dan kunci jawaban. Oktober 20 2020 oktober 20 2020. Mar 20, 2021 · contoh soal matematika dasar tes kerja. Chas gp clinics division clinic name blk of chas gp clinics division clinic name blk street level unit bldg postal phone fax admiralty essential family clinic and surgery 626a woodlands dr 52 01 01 731626. Soal tes teori kejuruan administrasi perkantoran. Oct 11, 2020 · soal teknik sepedamotor. Surat diserahkan ke bendahara 3.
Contoh soal dan jawaban dokumen kantor administrasi perkantoran 1.pembahasan soal ujian nasional smk zenius blog.40 contoh soal pppk kemampuan manajerial beserta kunci contoh soal essay tentang interior kantor.otomatisasi perkantoran rabu 20 mei 2015.sarana dan prasarana untuk kelas xii jurusan.20201001 tata usaha tersebut meliputi dari tugas.
Soal susah dikerjakan peserta tes seleksi pelatihan kerja belajar dari internet tribun batam. Berikut soal mapel administrasi perkantoran kelas xi soal berdasarkan modul dari materi administrasi perkantoran. Jan 03, 2021 · soal tes teori kejuruan administrasi perkantoran. Jul 26, 2020 · 3. Apr 16, 2018 · halo kak, mau tanya kan tanggal 26 aku tes di blk makassar terus aku ambil jurusan pengelolaan administrasi perkantoran, bisa ga kalo ada soal ga dijawab karena sama sekali aku tidak tau apa2 tentang pengelolaan administrasi. Didistribusikan kepada bagian yang membutuhkan 4. Chas gp clinics division clinic name blk of chas gp clinics division clinic name blk street level unit bldg postal phone fax admiralty essential family clinic and surgery 626a woodlands dr 52 01 01 731626. Soal tes blk administrasi perkantoran. Soal tes teori kejuruan administrasi perkantoran. Oktober 20 2020 oktober 20 2020. Read each question carefully and bubble in the correct answer on your scantron. Informasi yang anda cari adalah contoh soal seleksi blk kejuruan administrasi perkantoran. Petugas memeriksa persediaan atau stock barang di gudang 6.
Berbagi
Posting Komentar
untuk "Soal Tes Blk Administrasi Perkantoran : Blk Surakarta Luluskan 114 Peserta Pelatihan Berbasis Kompetensi Antara News - Dimana soal yang kita pelajari adalah indikator :"
Posting Komentar untuk "Soal Tes Blk Administrasi Perkantoran : Blk Surakarta Luluskan 114 Peserta Pelatihan Berbasis Kompetensi Antara News - Dimana soal yang kita pelajari adalah indikator :"